ZHCSJJ7H april 2019 – june 2023 TLV9061-Q1 , TLV9062-Q1 , TLV9064-Q1
PRODMIX
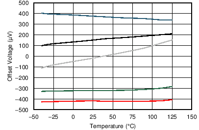
TA = 25°C,VS = 5.5V,RL = 10kΩ(連接至 VS/2),VCM = VS/2 且 VOUT = VS/2(除非另有說(shuō)明)



| VS = 1.8V 至 5.5V | ||

| RL = 2kΩ | ||



| VCM = (V–) – 0.1V 至 (V+) – 1.4V | ||
| TA = –40°C 至 125°C | RL = 10kΩ | VS = 5.5V |

| VS = 1.8V 至 5.5V | ||

| VS = 5.5V | VCM = 2.5V | RL = 2kΩ |
| VOUT = 0.5VRMS | BW = 80kHz | G = +1 |

| VS = 5.5V | VCM = 2.5V | RL = 2kΩ |
| G = –1 | BW = 80kHz | f = 1kHz |


| V+ = 2.75V | V– = –2.75V | G = +1V/V |
| VOUT 階躍 = 100mVp-p | RL = 10kΩ |

| V+ = 2.75V | V– = –2.75V | |

| V+ = 2.75V | V– = –2.75V | G = 1V/V |


| PRF = –10dBm | ||

| VS = 5.5V | ||


| TA = –40°C 至 125°C | ||

| V+ = 2.75V | V– = –2.75V |

| CL = 10pF | ||


| V+ = 2.75V | V– = –2.75V | |

| VS = 5.5V | VCM = -0.1 V 至 5.6 V | TA = –40°C 至 125°C |
| RL = 10kΩ |

| VS = 1.8V 至 5.5V | ||


| VS = 5.5V | RL = 2kΩ | G = +1 |
| VCM = 2.5V | BW = 80kHz | f = 1kHz |



| V+ = 2.75V | V– = –2.75V | G = –1V/V |
| VOUT 階躍 = 100mVp-p | RL = 10kΩ |

| V+ = 2.75V | V– = –2.75V | G = –10V/V |

| V+ = 2.75V | V– = –2.75V | CL = 100pF |
| G = 1V/V |

| RL = 10k?Ω | CL = 10pF | |

| V+ = 2.75V | V– = –2.75V | |

| VS = 5.5V | ||
