ZHCSDC8A December 2014 – November 2017
PRODUCTION DATA.
| FIGURE NUMBER | |
|---|---|
| System Light Load Efficiency vs System Load Current | Figure 1 |
| SYS Voltage Regulation vs System Load | Figure 2 |
| Charging Efficiency vs Charging Current | Figure 3 |
| Boost Mode Efficiency vs VBUS Load Current | Figure 4 |
| Boost Mode VBUS Voltage Regulation vs VBUS Load Current | Figure 5 |
| SYS Voltage vs Temperature | Figure 6 |
| BAT Voltage vs Temperature | Figure 7 |
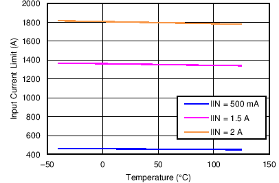
| Input Current Limit vs temperature | Figure 8 |
| Charge Current vs temperature | Figure 9 |








