ZHCSAH3D march 2013 – september 2020 BQ51013B
PRODUCTION DATA
Shown in Figure 9-1, the capacitors C1 (series) and C2 (parallel) make up the dual resonant circuit with the receiver coil. These two capacitors must be sized correctly per the WPC v1.2 specification. Figure 9-2 illustrates the equivalent circuit of the dual resonant circuit:
Figure 9-2 Dual Resonant Circuit With the Receiver CoilThe Power Receiver Design Requirements in Volume 1 of the WPC v1.2 specification highlights in detail the sizing requirements. To summarize, the receiver designer will be required to take inductance measurements with a standard test fixture as shown in Figure 9-3:
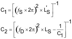
Figure 9-3 WPC V1.2 Receiver Coil Test Fixture For the Inductance Measurement Ls’ (Copied From System Description Wireless Power Transfer, Volume 1: Low Power, Part 1 Interface Definition, Version 1.1)The primary shield is to be 50 mm × 50 mm × 1 mm of Ferrite material PC44 from TDK Corp. The gap dZ is to be 3.4 mm. The receiver coil, as it will be placed in the final system (for example, the back cover and battery must be included if the system calls for this), is to be placed on top of this surface and the inductance is to be measured at 1-V RMS and a frequency of 100 kHz. This measurement is termed Ls’. The same measurement is to be repeated without the test fixture shown in Figure 9-3. This measurement is termed Ls or the free-space inductance. Each capacitor can then be calculated using Equation 6:

where
C1 must be chosen first prior to calculating C2.
The quality factor must be greater than 77 and can be determined by Equation 7:

where
All other constants are defined above.
For this application, the selected coil inductance, Ls, is 11 μH and the Ls' is 16 μH with a DC resistance of 191 mΩ. Using Equation 6, the C1 resolves to 158.3 nF (with a range of 144 nF to 175 nF). For an optimum solution of 3 capacitors in parallel, the chosen capacitors are 68 nF, 47 nF, and 39 nF for a total of 154 nF, well within the desired range. Using the same equation (and the chosen value for C1), C2 resolves to 2.3 nF. This is easily met with capacitors of 2.2 nF and 100 pF. The C1 and C2 capacitors must have a minimum voltage rating of 25 V. Solving for the quality factor (Q in Equation 7), gives a value of over 500.
Table 9-1 lists the recommended RX coils.