ZHCSL45A April 2020 – September 2020 LM25183-Q1
PRODUCTION DATA
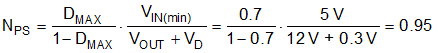
Choose a turns ratio of 1 : 1 based on an approximate 70% max duty cycle at minimum input voltage using Equation 14, rounding up or down as needed. While the maximum duty cycle can approach 80% if a particularly wide input voltage application is needed, it increases the peak current stress of the secondary-side components.

Select a magnetizing inductance based on the minimum off-time constraint using Equation 15. Choose a value of 12.5 μH to allow some margin for this application. Specify a saturation current of 3 A, above the maximum switch current specification of the LM25183 -Q1.

Note that a higher magnetizing inductance provides a larger operating range for BCM and FFM, but the leakage inductance can increase based on a higher number of primary turns, NP. Equation 16 and Equation 17 give the primary and secondary winding RMS currents, respectively.


Find the maximum output current for a given turns ratio using Equation 18, where η is the efficiency and the typical value for ISW-PEAK is the 2.5-A switch peak current threshold. Iterate by increasing the turns ratio if the output current capability is too low at minimum input voltage, checking that the SW voltage rating of 65 V is not exceeded at maximum input voltage.
