Choose compensation components for a stable
control loop using the procedure outlined as follows:
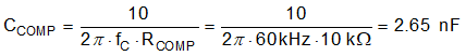
- Based on a specified loop gain crossover
frequency, fC, of 60 kHz, use Equation 43 to calculate RCOMP, assuming an effective output capacitance of
100 μF. Choose a standard value for RCOMP of 10 k?.
Equation 43. 
- To provide adequate phase boost at crossover
while also allowing a fast settling time during a load or line transient, select
CCOMP to place a zero at the higher of (1) one tenth of the
crossover frequency, or (2) the load pole. Choose a standard value for
CCOMP of 2.7 nF.
Equation 44. 
Such a
low capacitance value also helps to avoid output voltage overshoot when
recovering from dropout (when the input voltage is less than the output
voltage setpoint and VCOMP is railed high).
- Calculate CHF to create a pole at the
ESR zero and to attenuate high-frequency noise at COMP. CBW is the
bandwidth-limiting capacitance of the error amplifier. CHF can not be
significant enough to be necessary in some designs, like this one.
CHF can be unpopulated, or used with a small 22 pF for more noise
filtering.
Equation 45. 
Note: Set a fast loop with high RCOMP and low CCOMP values to improve the response when recovering from operation in dropout.
For technical solutions, industry trends, and insights for designing and managing
power supplies, please refer to TI's technical
articles.