ZHCSMW3A December 2020 – November 2021 LMH32404-Q1
PRODUCTION DATA
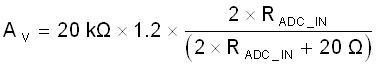
Each differential output pair of the LMH32404-Q1 can directly drive a high-speed differential input ADC. Figure 8-1 shows how the effective signal the effective signal gain between the TIA input and the ADC input is 20 kΩ when driving an ADC with a 100-Ω differential input impedance (RADC_IN = 50 Ω). Equation 2 gives the effective signal gain between the TIA input and the ADC input when driving an ADC with any other value of differential input impedance (RADC_IN ≠ 50 Ω).

where
Figure 8-2 shows that in some designs a matching resistor network can be inserted between the LMH32404-Q1 output and the ADC inputs. Equation 3 gives the effective gain from the TIA input to the ADC input when using a matching resistor network.

where
Equation 4 gives the voltage to be applied at the VOD pin (pin 10) if a certain differential offset voltage (VOD) is needed at the ADC input for the circuit in Figure 8-2.

where