SLVSBO4C October 2012 – December 2014 TPS62736 , TPS62737
UNLESS OTHERWISE NOTED, this document contains PRODUCTION DATA.
| MIN | MAX | UNIT | |||
|---|---|---|---|---|---|
| Pin voltage | Input voltage range on IN, EN1, EN2, VRDIV, VIN_OK_SET, VOUT_SET, VIN_OK, OUT, SW,NC | –0.3 | 5.5 | V | |
| TPS62736 | Peak currents | IN, OUT | 100 | mA | |
| TPS62737 | Peak currents | IN, OUT | 370 | mA | |
| TJ | Temperature range | Operating junction temperature range | –40 | 125 | °C |
| MIN | MAX | UNIT | |||
|---|---|---|---|---|---|
| Tstg | Storage temperature range | –65 | 150 | °C | |
| V(ESD) | Electrostatic discharge | Human body model (HBM), per ANSI/ESDA/JEDEC JS-001, all pins(1) | -1 | 1 | kV |
| Charged device model (CDM), per JEDEC specification JESD22-C101, all pins(2) | -500 | 500 | V | ||
| Machine Model (MM) | -150 | 150 | |||
| MIN | NOM | MAX | UNIT | ||
|---|---|---|---|---|---|
| IN | IN voltage range | 2 | 5.5 | V | |
| CIN | TPS62736 Input Capacitance | 4.7 | μF | ||
| TPS62737 Input Capacitance | 22 | ||||
| COUT | Output Capacitance | 10 | 22 | μF | |
| R1 + R2 + R3 |
Total Resistance for setting reference voltage | 13 | MΩ | ||
| LBUCK | TPS62736 Inductance | 4.7 | 10 | μH | |
| TPS62737 Inductance | 10 | ||||
| TA | TPS62736 Operating free air ambient temperature | –40 | 85 | °C | |
| TPS62737 Operating free air ambient temperature | –20 | 85 | |||
| TJ | Operating junction temperature | –40 | 105 | °C | |
| THERMAL METRIC(1) | TPS6273x | UNIT | |
|---|---|---|---|
| RGY | |||
| 14 PINS | |||
| θJA | Junction-to-ambient thermal resistance | 33.7 | °C/W |
| θJCtop | Junction-to-case (top) thermal resistance | 37.6 | |
| θJB | Junction-to-board thermal resistance | 10.1 | |
| ψJT | Junction-to-top characterization parameter | 0.4 | |
| ψJB | Junction-to-board characterization parameter | 10.3 | |
| θJCbot | Junction-to-case (bottom) thermal resistance | 2.9 | |
| PARAMETER | TEST CONDITIONS | MIN | TYP | MAX | UNIT | |
|---|---|---|---|---|---|---|
| QUIESCENT CURRENTS | ||||||
| IQ | TPS62736 Buck enabled state (EN1 = 0, EN2 = 1) |
VIN = 2 V, No load on VOUT | 380 | 550 | nA | |
| TPS62736 Buck disabled VIN_OK active state (EN1 = 0, EN2 = 0) |
340 | 520 | ||||
| TPS62736 Ship mode state (EN1 = 1, EN2 = x) | 10 | 65 | ||||
| TPS62737 Buck enabled state (EN1 = 0, EN2 = 1) |
375 | 600 | nA | |||
| TPS62737 Buck disabled VIN_OK active state (EN1 = 0, EN2 = 0) |
345 | 560 | ||||
| TPS62737 Ship mode state (EN1 = 1, EN2 = x) | 11 | 45 | ||||
| OUTPUT | ||||||
| VBIAS | Output regulation reference | 1.205 | 1.21 | 1.217 | V | |
| VOUT | TPS62736 Output regulation (Spec does not include the resistor accuracy error) | IOUT = 10 mA; 1.3 V < VOUT < 3.3 V |
–2% | 0% | 2% | |
| TPS62737 Output regulation (Spec does not include the resistor accuracy error) | IOUT = 100 mA; 1.3 V < VOUT < 3.3 V; |
–2% | 0% | 2% | ||
| TPS62736 Output line regulation | IOUT = 100 µA; VIN = 2.4 V to 5.5 V |
0.01 | %/V | |||
| TPS62737 Output line regulation | IOUT = 10 mA; VIN = 2.3 V to 5.5 V |
0.31 | ||||
| TPS62736 Output load regulation | IOUT = 100 µA to 50 mA, VIN = 2.2 V |
0.01 | %/mA | |||
| TPS62737 Output load regulation | IOUT = 100 µA to 200 mA, VIN = 2.2 V; –20°C < TA < 85°C |
0.01 | %/mA | |||
| TPS62736 Output ripple | VIN = 4.2V, IOUT = 1 mA, COUT = 22 μF |
20 | mVpp | |||
| TPS62737 Output ripple | VIN = 4.2 V, IOUT = 1 mA, COUT = 22 μF |
40 | mVpp | |||
| Programmable voltage range for output voltage threshold | IOUT = 10 mA | 1.3 | VIN – 0.2 | V | ||
| VDO | TPS62736 Drop-out-voltage when VIN is less than VOUT(SET) | VIN = 2.1 V, VOUT(SET) = 2.5 V, IOUT = 10 mA, 100% duty cycle |
24 | 30 | mV | |
| TPS62737 Drop-out-voltage when VIN is less than VOUT(SET) | VIN = 2.1 V, VOUT(SET) = 2.5 V, IOUT = 100 mA, 100% duty cycle |
180 | 220 | mV | ||
| tSTART-STBY | Startup time with EN1 low and EN2 transition to high (Standby Mode) | TPS62736, COUT = 22 µF | 400 | μs | ||
| TPS62737, COUT = 22 µF | 300 | μs | ||||
| tSTART-SHIP | Startup time with EN2 high and EN1 transition from high to low (Ship Mode) | COUT = 22 µF | 100 | ms | ||
| POWER SWITCH | ||||||
| RDS(on) | TPS62736 High-side switch ON resistance | VIN = 3 V | 2.4 | 3 | Ω | |
| TPS62736 Low-side switch ON resistance | VIN = 3 V | 1.1 | 1.5 | Ω | ||
| TPS62737 High-side switch ON resistance | VIN = 2.1 V | 1.8 | 2.2 | Ω | ||
| TPS62737 Low-side switch ON resistance | VIN = 2.1 V | 0.9 | 1.3 | Ω | ||
| ILIM | TPS62736 Cycle-by-cycle current limit | 2.4 V < VIN < 5.25 V; 1.3 V < VOUT < 3.3 V |
68 | 86 | 100 | mA |
| TPS62737 Cycle-by-cycle current limit | 2.4 V < VIN < 5.25 V; 1.3 V < VOUT < 3.3 V; –20°C < TA < 85°C |
295 | 340 | 370 | mA | |
| fSW | Max switching frequency | 2 | MHz | |||
| INPUT | ||||||
| VIN-UVLO | Input under voltage protection | VIN falling | 1.91 | 1.95 | 2 | V |
| VIN-OK | Input power-good programmable voltage range | 2 | 5.5 | V | ||
| VIN-OK-ACC | TPS62736 Accuracy of VIN-OK setting | VIN increasing | –2% | 2% | ||
| TPS62737 Accuracy of VIN-OK setting | –3% | 3% | ||||
| VIN-OK-HYS | Fixed hysteresis on VIN_OK threshold, OK_HYST | VIN increasing | 40 | mV | ||
| VIN_OK-OH | VIN-OK output high threshold voltage | Load = 10 µA | VIN – 0.2 | V | ||
| VIN_OK-OL | VIN-OK output low threshold voltage | 0.1 | V | |||
| EN1 and EN2 | ||||||
| VIH | Voltage for EN High setting. Relative to VIN | VIN = 4.2 V | VIN – 0.2 | V | ||
| VIL | Voltage for EN Low setting | 0.2 | V | |||
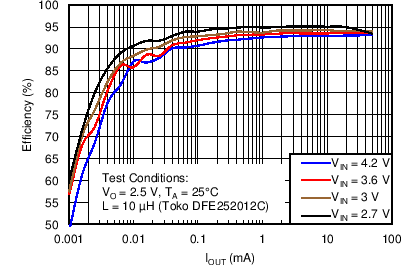
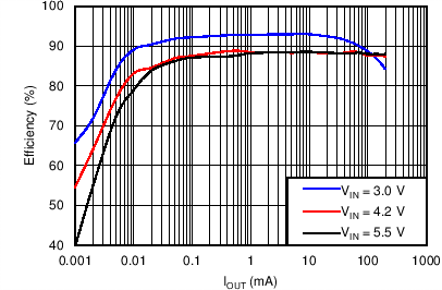
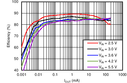
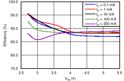
| Unless otherwise noted, graphs were taken using Figure 62 with L = Toko 10 µH DFE252012C | FIGURE | ||
|---|---|---|---|
| η | VO = 2.5 V Efficiency | vs Output Current | Figure 1 |
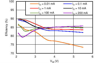
| vs Input Voltage | Figure 2 | ||
| VO = 1.8 V Efficiency | vs Output Current | Figure 3 | |
| vs Input Voltage | Figure 4 | ||
| VO = 1.3 V Efficiency | vs Output Current | Figure 5 | |
| vs Input Voltage | Figure 6 | ||
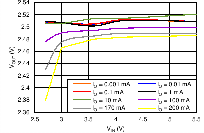
| VOUT (DC) | VO = 2.5 V | vs Output Current | Figure 7 |
| vs Input Voltage | Figure 8 | ||
| vs Temperature | Figure 9 | ||
| VO = 1.8 V | vs Output Current | Figure 10 | |
| vs Input Voltage | Figure 11 | ||
| vs Temperature | Figure 12 | ||
| VO = 1.3 V | vs Output Current | Figure 13 | |
| vs Input Voltage | Figure 14 | ||
| vs Temperature | Figure 15 | ||
| IOUT MAX (DC) | VO = 2.5 V | vs Input Voltage | Figure 16 |
| VO = 1.8 V | Figure 17 | ||
| VO = 1.3 V | Figure 18 | ||
| Input IQ | EN1 = 1, EN2 = 0 (Ship Mode) | vs Input Voltage | Figure 19 |
| EN1 = 0, EN2 = 0 (Standby Mode) | Figure 20 | ||
| EN1 = 0, EN2 = 1 (Active Mode) | Figure 21 | ||
| Switching Frequency | VO = 2.5 V | vs Output Current | Figure 23 |
| vs Input Voltage | Figure 24 | ||
| Output Ripple | VO = 2.5 V | vs Output Current | Figure 25 |
| vs Input Voltage | Figure 26 | ||

| IN = Sourcemeter configured as voltage source and measuring current | ||
| OUT = sourcemeter configured as current source to sink current and VCOMP > VOUT |

| IN = Sourcemeter configured as voltage source and measuring current | ||
| OUT = sourcemeter configured as current source to sink current and VCOMP > VOUT |

| IN = Sourcemeter configured as voltage source and measuring current | ||
| OUT = sourcemeter configured as current source to sink current and VCOMP > VOUT |

| IN = Sourcemeter configured as voltage source and measuring current | ||
| OUT = sourcemeter configured as current source to sink current and VCOMP > VOUT |

| IN = Sourcemeter configured as voltage source and measuring current | ||
| OUT = sourcemeter configured as current source to sink current and VCOMP > VOUT | ||
| Thermal stream provided temperature variation |

| IN = Sourcemeter configured as voltage source and measuring current | ||
| OUT = sourcemeter configured as current source to sink current and VCOMP > VOUT | ||

| IN = Sourcemeter configured as voltage source and measuring current | ||
| OUT = sourcemeter configured as current source to sink current and VCOMP > VOUT |

| IN = Sourcemeter configured as voltage source and measuring current | ||
| VOUT = sourcemeter configured as current source to sink current and VCOMP > VOUT | ||
| Thermal stream provided temperature variation |

| IN = Sourcemeter configured as voltage source and measuring current | ||
| OUT = sourcemeter configured as current source to increasingly sink current until V(OUT) < VOUT - 100 mV | ||
| Thermal stream provided temperature variation |

| IN = Sourcemeter configured as voltage source and measuring current | ||
| OUT = open; EN1 = high; EN2 = x | ||
| Thermal stream provided temperature variation |

| IN = Sourcemeter configured as voltage source and measuring current | ||
| OUT = sourcemeter configured as voltage source > VOUT to prevent switching | ||
| Thermal stream provided temperature variation |

| IN = Sourcemeter configured as voltage source | ||
| OUT = sourcemeter configured as current source to sink current and VCOMP > VOUT |

| IN = Sourcemeter configured as voltage source | ||
| OUT = sourcemeter configured as current source to sink current and VCOMP > VOUT | ||
| Scope probe with small ground lead used to measure ripple across COUT |

| IN = Sourcemeter configured as voltage source and measuring current | ||
| OUT = sourcemeter configured as current source to sink current and VCOMP > VOUT |

| IN = Sourcemeter configured as voltage source and measuring current | ||
| OUT = sourcemeter configured as current source to sink current and VCOMP > VOUT |

| IN = Sourcemeter configured as voltage source and measuring current | ||
| OUT = sourcemeter configured as current source to sink current and VCOMP > VOUT |

| IN = Sourcemeter configured as voltage source and measuring current | ||
| OUT = sourcemeter configured as current source to sink current and VCOMP > VOUT |

| IN = Sourcemeter configured as voltage source and measuring current | ||
| OUT = sourcemeter configured as current source to sink current and VCOMP > VOUT | ||

| IN = Sourcemeter configured as voltage source and measuring current | ||
| OUT = sourcemeter configured as current source to sink current and VCOMP > VOUT | ||
| Thermal stream provided temperature variation |

| IN = Sourcemeter configured as voltage source and measuring current | ||
| OUT = sourcemeter configured as current source to sink current and VCOMP > VOUT |

| IN = Sourcemeter configured as voltage source and measuring current | ||
| OUT = sourcemeter configured as current source to increasingly sink current until V(OUT) < VOUT - 100 mV | ||
| Thermal stream provided temperature variation |

| IN = Sourcemeter configured as voltage source and measuring current | ||
| OUT = sourcemeter configured as current source to increasingly sink current until V(OUT) < VOUT - 100 mV | ||
| Thermal stream provided temperature variation |

| IN = Sourcemeter configured as voltage source and measuring current | ||
| OUT = open; EN1 = EN2 = low | ||
| Thermal stream provided temperature variation |

| IN = Sourcemeter configured as voltage source and measuring current | ||
| OUT = sourcemeter configured as voltage source > VOUT to prevent switching | ||
| Thermal stream provided temperature variation |

| IN = Sourcemeter configured as voltage source | ||
| OUT = sourcemeter configured as current source to sink current and VCOMP > VOUT |

| IN = Sourcemeter configured as voltage source | ||
| OUT = sourcemeter configured as current source to sink current and VCOMP > VOUT | ||
| Scope probe with small ground lead used to measure ripple across COUT |
| Unless otherwise noted, graphs were taken using Figure 52 with L = Toko 10 µH DFE252012C | FIGURE | ||
|---|---|---|---|
| η | VO = 2.5 V Efficiency | vs Output Current | Figure 27 |
| vs Input Voltage | Figure 28 | ||
| VO = 1.8 V Efficiency | vs Output Current | Figure 29 | |
| vs Input Voltage | Figure 30 | ||
| VO = 1.3 V Efficiency | vs Output Current | Figure 31 | |
| vs Input Voltage | Figure 32 | ||
| VOUT (DC) | VO = 2.5 V | vs Output Current | Figure 33 |
| vs Input Voltage | Figure 33 | ||
| vs Temperature | Figure 35 | ||
| VO = 1.8 V | vs Output Current | Figure 36 | |
| vs Input Voltage | Figure 37 | ||
| vs Temperature | Figure 38 | ||
| VO = 1.3 V | vs Output Current | Figure 39 | |
| vs Input Voltage | Figure 40 | ||
| vs Temperature | Figure 41 | ||
| IOUT MAX (DC) | VO = 2.5 V | vs Input Voltage | Figure 42 |
| VO = 1.8 V | Figure 43 | ||
| VO = 1.3 V | Figure 44 | ||
| Input IQ | EN1 = 1, EN2 = 0 (Ship Mode) | vs Input Voltage | Figure 45 |
| EN1 = 0, EN2 = 0 (Standby Mode) | Figure 46 | ||
| EN1 = 0, EN2 = 1 (Active Mode) | Figure 47 | ||
| Switching Frequency | VO = 1.8 V | vs Output Current | Figure 48 |
| vs Input Voltage | Figure 49 | ||
| Output Ripple | VO = 1.8 V | vs Output Current | Figure 51 |
| vs Input Voltage | Figure 51 | ||

| IN = Sourcemeter configured as voltage source and measuring current | ||
| OUT = sourcemeter configured as current source to sink current and VCOMP > VOUT |

| IN = Sourcemeter configured as voltage source and measuring current | ||
| OUT = sourcemeter configured as current source to sink current and VCOMP > VOUT |

| IN = Sourcemeter configured as voltage source and measuring current | ||
| OUT = sourcemeter configured as current source to sink current and VCOMP > VOUT |

| IN = Sourcemeter configured as voltage source and measuring current | ||
| OUT = sourcemeter configured as current source to sink current and VCOMP > VOUT |

| IN = Sourcemeter configured as voltage source and measuring current | ||
| OUT = sourcemeter configured as current source to sink current and VCOMP > VOUT | ||
| Thermal stream provided temperature variation |

| IN = Sourcemeter configured as voltage source and measuring current | ||
| OUT = sourcemeter configured as current source to sink current and VCOMP > VOUT | ||

| IN = Sourcemeter configured as voltage source and measuring current | ||
| OUT = sourcemeter configured as current source to sink current and VCOMP > VOUT |

| IN = Sourcemeter configured as voltage source and measuring current | ||
| OUT = sourcemeter configured as current source to sink current and VCOMP > VOUT | ||
| Thermal stream provided temperature variation |

| IN = Sourcemeter configured as voltage source and measuring current | ||
| OUT = sourcemeter configured as current source to increasingly sink current until V(OUT) < VOUT - 100 mV | ||
| Thermal stream provided temperature variation |

| IN = Sourcemeter configured as voltage source and measuring current | ||
| OUT = open; EN1 = high; EN2 = x | ||
| Thermal stream provided temperature variation |

| IN = Sourcemeter configured as voltage source and measuring current | ||
| OUT = sourcemeter configured as voltage source > VOUT to prevent switching | ||
| Thermal stream provided temperature variation |

| IN = Sourcemeter configured as voltage source | ||
| OUT = sourcemeter configured as current source to sink current and VCOMP > VOUT | ||

| IN = Sourcemeter configured as voltage source | ||
| OUT = sourcemeter configured as current source to sink current and VCOMP > VOUT | ||
| Scope probe with small ground lead used to measure ripple across COUT |

| IN = Sourcemeter configured as voltage source and measuring current | ||
| OUT = sourcemeter configured as current source to sink current and VCOMP > VOUT |

| IN = Sourcemeter configured as voltage source and measuring current | ||
| OUT = sourcemeter configured as current source to sink current and VCOMP > VOUT |

| IN = Sourcemeter configured as voltage source and measuring current | ||
| OUT = sourcemeter configured as current source to sink current and VCOMP > VOUT |

| IN = Sourcemeter configured as voltage source and measuring current | ||
| OUT = sourcemeter configured as current source to sink current and VCOMP > VOUT |

| IN = Sourcemeter configured as voltage source and measuring current | ||
| OUT = sourcemeter configured as current source to sink current and VCOMP > VOUT | ||

| IN = Sourcemeter configured as voltage source and measuring current | ||
| OUT = sourcemeter configured as current source to sink current and VCOMP > VOUT | ||
| Thermal stream provided temperature variation |

| IN = Sourcemeter configured as voltage source and measuring current | ||
| OUT = sourcemeter configured as current source to sink current and VCOMP > VOUT |

| IN = Sourcemeter configured as voltage source and measuring current | ||
| OUT = sourcemeter configured as current source to increasingly sink current until V(OUT) < VOUT - 100 mV | ||
| Thermal stream provided temperature variation |

| IN = Sourcemeter configured as voltage source and measuring current | ||
| OUT = sourcemeter configured as current source to increasingly sink current until V(OUT) < VOUT - 100 mV | ||
| Thermal stream provided temperature variation |

| IN = Sourcemeter configured as voltage source and measuring current | ||
| OUT = open; EN1 = EN2 = low | ||
| Thermal stream provided temperature variation |

| IN = Sourcemeter configured as voltage source | ||
| OUT = sourcemeter configured as current source to sink current and VCOMP > VOUT | ||

| IN = Sourcemeter configured as voltage source | ||
| OUT = sourcemeter configured as current source to sink current and VCOMP > VOUT | ||
| Scope probe with small ground lead used to measure ripple across COUT |