ZHCSLI4C may 2020 – june 2023 TSV911A-Q1 , TSV912A-Q1 , TSV914A-Q1
PRODUCTION DATA
TA = 25°C,VS = 5.5V,RL = 10kΩ(連接至 VS/2),VCM = VS/2 且 VOUT = VS/2(除非另有說明)



| VS = 2.5V 至 5.5V | ||
圖 7-7 閉環(huán)增益與頻率間的關(guān)系
| V+ = 2.75V,V– = –2.75V | ||

| VS = 5.5V | VCM = (V–) – 0.1V 至 (V+) + 0.1V | RL = 10kΩ |
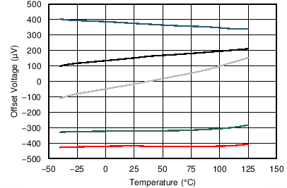
| TA = –40°C 至 125°C | ||

| VS = 2.5V 至 5.5V | ||


| VS = 5.5V | VCM = 2.5V | RL = 2kΩ |
| G = 1 | BW = 80kHz | f = 1kHz |



| V+ = 2.75V | V– = –2.75V | RL = 10kΩ |
| G = –1V/V | VOUT 階躍 = 100mVp-p |

| V+ = 2.75V,V– = –2.75V,G = –10V/V | ||

| V+ = 2.75V | V– = –2.75V | CL = 100pF |
| G = 1V/V |

| PRF = –10dBm | ||

| VS = 5.5V | ||


| TA = –40°C 至 125°C | ||

| V+ = 2.75V,V– = –2.75V | ||

| CL = 10pF | ||
圖 7-8 輸入偏置電流與溫度間的關(guān)系

| VS = 5.5V | VCM = (V–) –0.1V 至 (V+) –1.4V | RL= 10kΩ |
| TA = –40°C 至 125°C | ||

| VS = 2.5V 至 5.5V | ||

| VS = 5.5V | VCM = 2.5V | RL = 2kΩ |
| G = 1 | VOUT = 0.5VRMS | BW = 80kHz |

| VS = 5.5V | VCM = 2.5V | RL = 2kΩ |
| G = –1 | BW = 80kHz | f = 1kHz |


| V+ = 2.75V | V– = –2.75V | G = 1V/V |
| RL = 10kΩ | VOUT 階躍 = 100mVp-p |

| V+ = 2.75V,V– = –2.75V | ||

| V+ = 2.75V,V– = –2.75V,G = 1V/V | ||


| V+ = 2.75V,V– = –2.75V |

| VS = 5.5V | ||
