SLVAF41A March 2021 – November 2021 TPS61094
Because the supercap lifetime and leakage current are strongly related to working voltage, TI suggests to set supercap charging terminal voltage to 2 V, which could achieve 20 years life time at 65 ℃ and the leakage current is about 18% of the datasheet spec.
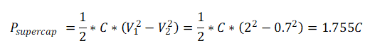
The capacity of the supercap depends on Rx/Tx transmission loss. Let's take NB-IoT as the example. Assume the transmission internal is 24 h that is once data exchange every day, 3.3 V supply voltage, and a payload of 200 Bytes. The power consumption of one transmission is about 4 J. To leave 20 % margin, the target storage energy is set as 4.8 J (reference 11 and 12). The TPS61094 could support the supercap operation until supercap voltage is down to 0.7 V. So the supercap will discharge from 2 V to 0.7 V, the total discharge power is

The supercap discharge power should be higher than the total loss of NB-IoT transmission, 4.8 J, so smart meter could choose 3 F supercap.